变频器在恒压供水控制系统中的应用
1 引 言在送水工程中,为了维持恒压供水而又节能,除了不用大桶槽或虚耗能源的节流阀而能维持恒压,还必须防止泵浦急速开停循环而导致压力涌浪。采用变频器是个好的解决方法,但在控制上需要技巧。一般变频器由外部PLC或PID控制器接受运转指令,整合调整有一定难度并且比较耗时。台达 VFD-F水泵专用变频器使用内建泵浦控制逻辑,大幅简化了送水系统的变速控制。(欢迎来电咨询 郑州中鑫自动化设备有限公司 网址:www.hnzkwx.com 电话:0371-60133978 手机:13837132021 )
2 变频调速特性
按照电机理论,电机转速公式为:
式中:P为电动机的极对数,S为转差率,f为供电电源频率,n为电动机的实际转速。从公式可以看出,电机转速与频率近似成正比,改变频率即可平滑地调节电机转速,从而可以连续方便地改变风机的风量。风机是泵类负载,属平方转矩负载,其转速n、流量Q、压力H以及轴功率P具有如下关系:Q∝n, H∝n2, P∝n3,即流量与转速成正比,压力与转速平方成正比,轴功率与转速立方成正比。由上述分析可知,通过改变电动机转速就可方便地改变风机的风量,保证空气燃料比的优化;通过改变电动机转速,可以有效保证系统期望的工况,降低系统的电动损耗。在监控系统中使用变频调速技术(变频器)有以下优点:
(1)可方便地实现电机软起动、自由停车。电机均通过变频器或软起动从0―50HZ作缓慢加速起动,减少了机泵因突然高速起动所带来的影响,减少了直接起动时起动电流对电网的冲击;
(2)可提高功率因数,改善电动机电源质量,保证电动机的功率与实际负荷相匹配,达到系统节能运行的目的;
(3)可消除机泵的喘振现象,使机泵运行处于*佳工况状态;
(4)可方便地实现自动控制,使被调节量得到更平稳的调节,增强了系统的稳定性和可靠性。
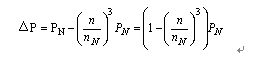
使用变频调速技术不仅调节方便,而且节能效果也是很明显的,设电动机额定功率为PN,额定转速为nN, 转速为n时实际输出功率为P,则节能(用功率表示)△P可以表示为:
如取
,则△P=0.67PN , 即节能效果在理想情况下可达到67%,可见只要采用变频调速技术,用变频调速其节能效果是很显著的。3 基于变频调速的恒压供水控制系统
基于变频调速的恒压供水控制系统如图1所示。在图1控制系统中,压力及流量是泵浦控制的两个重要参数。VFD-F可借助压力或流量传感器回传的电压或电流信号持续跟踪压力及流量,泵浦按预先设定的运转方式工作或停止,可大幅度节电并延长马达及泵浦的使用寿命。控制多台泵浦
为了提高流量,可使用一台以上泵浦组成控制系统,VFD-F可使用内建Relay(或选购Relay卡)控制额外泵浦在需要时的起动或停止,以维持恒压。VFD-F变频器参数的特别设置,可防止扰人的开开停停,提供泵浦之间平顺的转移及维持压力在容许的误差范围。VFD-F可控制任何以马达驱动的泵浦,内建*小速度设定点可符合深井泵马达制造厂家的*低速度要求。由于VFD-F变频器可使用V/F曲线,设定提供低速能达到100%的额定转矩,提供正排量泵浦低转速时所需的转矩,使用者不必加大变频器与马达容量,使用Line-shaft透平泵浦时可消除危险转速。(欢迎来电咨询 郑州中鑫自动化设备有限公司 网址:www.hnzkwx.com 电话:0371-60133978 手机:13837132021 )


